LES ÉQUATIONS PAR LE FIL DE FER
PROJET
Réaliser une scène de vie innue dans laquelle on retrouve un animal vivant sur le territoire des Innus.

.
METSHU ET LE PÊCHEUR – Crayon-feutre et fil de fer sur carton, 8,5 x 11 pouces.
.
.

.

.
Les enfants ont vraiment apprécié l’expérience. Comme d’habitude! Ils ont toujours de bons commentaires et ils sont fiers de leur création.
3e année, classe de Gabrielle Basque-Morin, école Bois-Joli, Sept-Îles (Québec), 2024-2025
.

.

.
Je voulais te remercier pour les projets d’art que tu prépares pour la classe. Ils sont toujours très motivants et les élèves ont hâte de travailler avec toi. Ta passion pour l’art et ton amour pour la culture innue nous amènent dans des projets fascinants. Tu fais briller des étoiles de fierté dans les yeux de nos élèves innus. Merci de nous faire découvrir ton univers. Nous avons déjà hâte à l’an prochain.
Tshinashkumitin
Encore merci pour les beaux projets que tu animes dans nos classes. L’an prochain on pourrait expérimenter le projet intitulé « Les valeurs par le pictogramme ».
4e année, classe de Hélène Labonté, école Du Boisé, Sept-Îles (Québec), 2022-2023
.
MATÉRIEL
LE MATÉRIEL D’ART EST FOURNI PAR ETAPMANITU
1. Papier régulier, 11 x 17 po (1 par élève)
2. Crayon à mine, gomme à effacer, crayon-feutre noir à pointe fine (1 par élève)
3. Carton blanc (ou papier photo mat), 8,5 x 11 po (1 par élève)
4. Fil de fer (d’aluminium, de jardin ou de cuivre), format 0,9 mm (20 g), longueur 35 à 40 po (environ 1 m par élève)

.
5. Ciseaux (1 par élève)
6. Règle (1 par élève)
.
LANGAGE PLASTIQUE
Formes : arrondie, angulaire
Lignes : courbe, droite, horizontale, verticale
Techniques : dessin, sculpture
Tracer à main levée
Vocabulaire : division, hasard, multiplication, nombre décimal, opération inverse, réflexion
Volume : forme tridimensionnelle
OUTILS PÉDAGOGIQUES
Vidéo sur le mode de vie innu – Enseignement traditionnel – Production Manitu inc.
Animaux innus – Durée : 3 min 22 s.
.
Dans l’attente, sculpture de Nadia Myre

.

.
Documents (à imprimer, à couper et à coller)

.

.

.

.

.
Carnet de traces


.
Ce projet est financé par le ministère de l’Éducation et de l’Enseignement supérieur du Québec.
.
.
CONTENU DU CARNET DE TRACES
Les élèves fabriquent un carnet de traces de 8 pages et compilent les informations suivantes :
PAGE COUVERTURE : écrire son nom en bas, au centre ; coller le dessin d’un animal au centre ; écrire le nom d’un animal en langue innue en haut de la page ;
Page 2 : tracer la ligne de contour d’un animal ; tracer une ligne verticale en bas de l’animal.
Page 3 : tracer une ligne d’horizon ; tracer des lignes en haut de la ligne d’horizon ; tracer le reflet de ces lignes sous la ligne d’horizon.
Page 4 : coller une photocopie ou écrire 2 nombres (pigés) ; réaliser 4 équations (addition, soustraction, multiplication et division) ; entourer 2 résultats ; tracer une ligne horizontale (axe) au bas de la page et indiquer l’emplacement d’un nombre décimal (résultat d’une division).
Page 5 : réaliser 8 équations (addition et soustraction) ; entourer 2 résultats.
Page 6 : coller une photocopie ou écrire une courte description du blanc et le noir en arts visuels.
Page 7 : coller une photocopie d’une liste de noms d’animaux en français et en innu (innu aimun).
Page 8 : suite de la page 7.
Démonstration — Réalisation d’un carnet de traces – Durée : 48 s.
.
ÉTAPES DU COURS
Jour 1
PRÉPARATION
Préparer sur le TBI (tableau blanc interactif ) la vidéo sur le mode de vie innu pour le visionnement.
Imprimer et couper les nombres de 2 à 13 (1 par élève) et de 14 à 25 (1 par élève) ; placer la première série dans un contenant (boite ou sac) ; placer la deuxième série dans un autre contenant. (Si le nombre d’élèves est plus élevé que 12, imprimer les nombres en double.)

.
Imprimer et couper la liste de noms d’animaux en français et en innu.

.
Distribuer à chaque élève :
– un papier régulier, 11 x 17 po
– deux nombres
– une photocopie de la liste de noms d’animaux en français et en innu
– un bâton de colle.
.
1. Présentation de l’artiste et du projet. Qu’est-ce qu’une scène de vie ? C’est un phénomène caractéristique de tendances dans la vie sociale d’un pays, d’un groupe. Qu’est-ce qu’une scène de vie innue ? Imaginer les Innus dans la nature. Que font-ils, où habitent-t-ils, que mangent-t-ils ?
2. Visionner la vidéo — Animaux innus – Production Manitu inc. Durée : 3 min 31s. Ouvrir une discussion sur l’exploitation de l’environnement, du développement technologique et des biens de consommation. Trouver des façons de respecter les animaux — Quels gestes pouvons-nous poser pour respecter l’environnement ? Par exemple : ne laisser aucun déchet derrière soi.
3. L’élève réalise un carnet de traces en manipulant et en pliant un papier de 11 x 17 pouces, en 8 carrés égaux. Il repère la page couverture et écrit son nom au bas de la page. Il numérote ensuite les pages de 2 à 8 dans les coins extérieurs. Tracer une ligne horizontale en haut de son nom.
4. Coller une photocopie de la liste de noms d’animaux en français et en innu, pages 7 et 8. Écrire « ANIMAUX » en haut de la page 7 et « AUESHISHAT » en haut de la page 8.

.
5. Écrire au tableau — Choisir 2 nombres au hasard, le premier est entre 2 et 13 inclusivement, le deuxième est entre 14 à 25 inclusivement ; réaliser 4 équations, soit : addition, soustraction, multiplication et division (placer le nombre le plus élevé devant). Par exemple : 20 et 9 ( 20 + 9 = 29, 20 – 9 = 11, 20 x 9 = 180, 20 ÷ 9 = 2.2). Que signifie « arrondir » ? Si le résultat de la division est un nombre décimal, tracer une ligne horizontale en bas de la page (axe), placer sur l’axe et arrondir ce nombre (p. ex. : 2,2 = 2 ).
6. Additionner, soustraire, multiplier et diviser — Piger un nombre de 2 à 13 et un autre nombre de 14 à 25. Écrire « NOMBRES » en haut de la page 4 et coller les deux nombres pigés ; réaliser quatre équations en utilisant les deux nombres pigés. Entourer 2 résultats (choisir les 2 plus petits nombres). À noter : réaliser seulement les additions et les soustractions pour les élèves de 3e année.

.
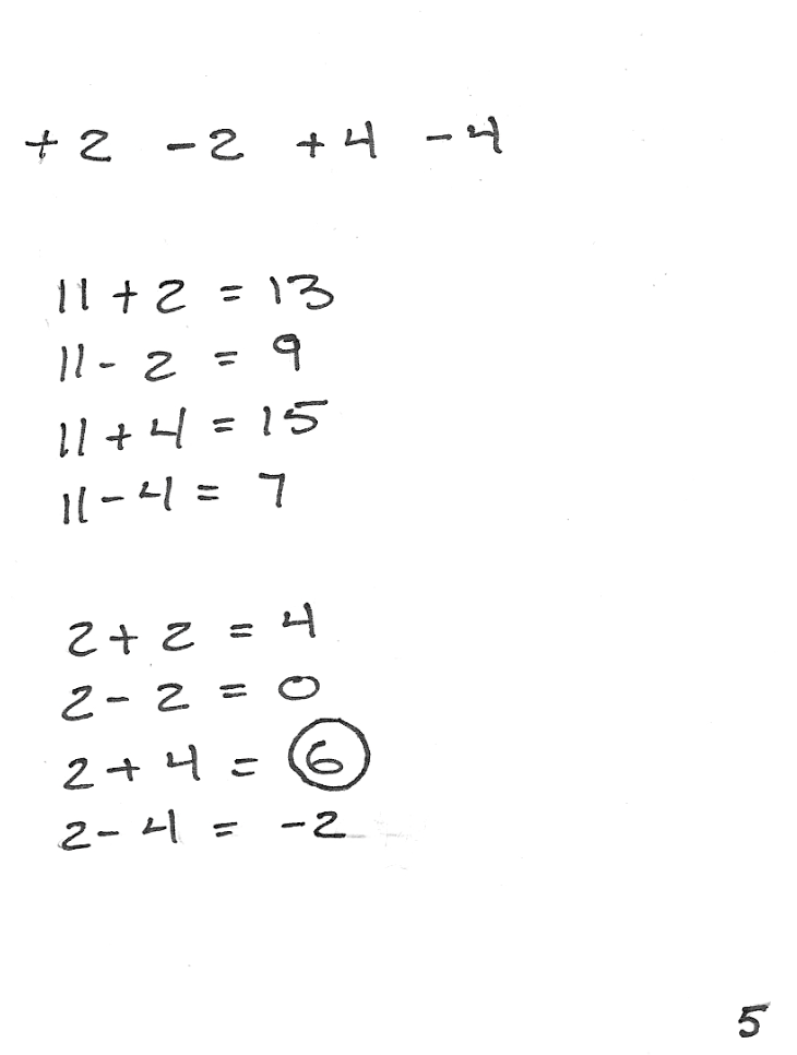
7. Écrire les nombres : + 2, – 2, + 4, – 4, en haut de la page 5. Réaliser huit équations : additionner et soustraire les deux nombres entourés (page 4). Par exemple : 11 et 2 (11 + 2 = 13, 11 – 2 + 9, 11 + 4 = 15, 11 – 4 = 7), (2 + 2 = 4, 2 – 2 = 0, 2 + 4 = 6, 2 – 4 = -2). Choisir et entourer un nombre parmi les résultats obtenus (ce nombre sera la somme des lignes tracées sur le projet final). Par exemple : 6 (ce nombre n’est ni trop élevé ni trop bas). À noter : si le nombre final est plus haut que 8, diviser ce nombre par 2 ; si le nombre final est plus petit que 3, multiplier ce nombre par 2.

.
8. Qu’est-ce qu’une ligne d’horizon ? Démonstration — Tracer un rectangle au tableau (qui représente le carnet de traces) ainsi qu’une ligne d’horizon au centre (ligne horizontale). Que signifie « tracer à main levée » ? C’est une technique de dessin qui se réalise à la main, sans outil de guidage ou instrument de mesure comme une règle ou un compas. Tracer le nombre de lignes (résultat de la page 5) à partir de la ligne d’horizon vers le haut ; tracer ensuite leur réflexion (sous la ligne d’horizon). Réaliser cet exercice, page 3. ATTENTION pour la 3e année : tracer une ligne vers le haut et tracer sa réflexion avant de continuer.

.
Entre le jour 1 et le jour 2
– L’enseignant s’assure de la compréhension de l’élève et vérifie que la collecte de l’information est conforme aux attentes : quatre équations, deux résultats entourés (page 4), huit équations, un résultat entouré (page 5), liste de noms d’animaux (pages 7 et 8).
– L’élève termine la page 3 du carnet de traces.
Jour 2
PRÉPARATION
Imprimer et couper :
– la courte description du blanc et du noir en arts visuels (1 par élève)

.
– les animaux, format env. 3 x 3 po (1 par élève) ; placer dans un contenant.

.
Redonner à chaque élève son carnet de traces.
Distribuer à chaque élève :
– un carton blanc (ou papier photo mat), 8,5 x 11 po
– une photocopie de la courte description du blanc et du noir
– une photocopie d’un animal (étape 9)
– crayon-feutre noir
– des ciseaux
– un bâton de colle.
.
9. Quelle est la signification du blanc et du noir en arts visuels ? Le blanc est la réunion de toutes les couleurs, le noir est l’absence de couleur. Coller une photocopie, page 6.
10. Piger la photocopie d’un animal.Découper (grossièrement) et coller au centre de lapage couverture. Entourer le nom de l’animal en langue innue (page 8) et écrire ce nom en haut de la page couverture.

.
.
11. Que signifie « côté portrait et côté paysage » ? Qui fait référence à l’orientation, où le paysage désigne quelque chose de plus large que grand, alors que le portrait est plus grand que large. Placer un carton blanc côté paysage (si le carton a une surface plus foncée que l’autre, choisir la surface moins foncée). Écrire son nom au verso.
12. Combien y a-t-il de cm dans 1 pouce ? 2,5 cm.Combien y a-t-il de cm dans 3 pouces ? 7,5 cm. Quelle opération dois-je faire pour connaître le produit ? 3 x 2,5 cm. Tracer une ligne d’horizon à 3 pouces du bas du carton.
13. Raconter une histoire : tracer une ligne continue sur un carton blanc au crayon à mine (p. ex. : La journée d’un pêcheur : il quitte sa tante, le soleil se lève, il prend son canot, il longe une montagne, il pêche un gros poisson (dessiner le poisson en bat de la ligne d’horizon), il fait un feu, la lune monte dans le ciel, il va dormir et ronfle.). Démonstration — Retracer au crayon-feutre noir et remplir la zone entre la ligne d’horizon et la ligne continue du dessin de façon à voir une scène de vie dans la pénombre.

.
14. Ouvrir le carnet de traces à la page 2 près d’une source de lumière pour bien distinguer les lignes de contour du dessin de la page couverture. Retracer librement la ligne de contour (gestes libres). Tracer une ligne verticale en bas de l’animal.

.
Entre le jour 2 et le jour 3
– L’enseignant s’assure que les éléments suivants figurent dans les carnets de traces : ligne de contour de l’animal (page 2), reflet sous la ligne d’horizon (page 3), signification du blanc et du noir (page 6), nom d’un animal en langue innue (page couverture).
– L’élève termine son carnet de traces. Il réalise le même exercice que sur la page 3 (8e étape) cette fois sur sa réalisation finale et à l’aide d’une règle, au crayon à mine d’abord puis il retrace au crayon-feutre noir.

.
Jour 3
PRÉPARATION
Préparer sur le TBI Dans l’attente, sculpture de Nadia Myre, artiste algonquine de la Nation Anichinaabé pour appréciation.
.
Couper du fil de fer, format env. 1 m (35 à 40 po par élève).
Redonner à chaque élève son carnet de traces.
Distribuer à chaque élève :
– du fil de fer
– une règle
– des ciseaux.
.
15. Appréciation de la sculpture, Dans l’attente, de Nadia Myre (sur le TBI). L’élève repère des éléments connus et découvre ce qui le touche. Il relève les points suivants : lignes courbes, droites, horizontales, verticales.
16. Démonstration — Plier le fil de fer en commençant par former une loupe à une extrémité. Utiliser le fil de fer tel un crayon, et de la même façon, en suivant les lignes de contour du dessin de la page couverture ou les lignes de contour du dessin de la page 2. Avant de couper le fil, s’assurer qu’il n’y manque aucun élément.
Démonstration — Plier le fil de fer – Durée : 3 min 20 s.
.
17. Accentuer les lignes afin de donner forme à la sculpture.
Démonstration — Accentuer les lignes– Durée : 2 min 38 s.
.
18. Tenir les ciseaux ouverts, à l’aide d’une règle, presser (très légèrement) sur la ligne d’horizon (à 3 pouces du bas au verso du carton blanc, au même niveau qu’au recto) et plier le carton vers l’intérieur. Appuyer le carton au mur et placer la sculpture sur la partie inférieure du carton.

.

.
CONCLUSION
Réflexion et évaluation des mesures à prendre pour modéliser une situation-problème.
EXTENSIONS
1. Autoévaluation à partir d’une fiche.

.
2. Réaliser une exposition : écrire le titre du projet ainsi que le nom de l’enseignant.e sur un petit carton blanc ; appuyer les réalisations contre un mur de la classe et placer le petit carton blanc en haut, au centre de l’exposition.

.

4e année, classe de Hélène Labonté, école Du Boisé, Sept-Îles (Québec), 2022-2023
GLOSSAIRE
Côté portrait, côté paysage : qui fait référence à l’orientation, où le paysage désigne quelque chose de plus large que grand, alors que le portrait est plus grand que large.
Culture : accumulation personnelle d’éléments qui guident (ou déterminent) le comportement d’un humain dans un environnement donné.
Forme : agencement des structures.
Tracer à main levée : technique de dessin qui se réalise à la main, sans outil de guidage ou instrument de mesure comme une règle ou un compas.
.
CONTENU D’APPRENTISSAGE – MINISTÈRE DE L’ÉDUCATION DU QUÉBEC
Nombres naturels – Sens des opérations : multiplication, produit, division, reste ; propriété des opérations : associativité ; approximation du résultat d’une opération : addition, soustraction, multiplication, division
Mesure – Unités non conventionnelles
Probabilité – Prédiction d’un résultat (certain, possible ou impossible)
À la fin du 2e cycle, l’élève doit pouvoir :
Additionner, soustraire, multiplier et diviser
COMPÉTENCE 1 – Résoudre une situation-problème mathématique
Cheminement de l’élève : il réussit à dégager des données implicites de situations problèmes et il accroît son aptitude à modéliser et à appliquer des stratégies variées.
Composante de la compétence – Modéliser la situation-problème
Critère d’évaluation
- Production d’une solution correcte : démarche et résultat
Attentes de fin de cycle : il résout une situation-problème pouvant comporter plus d’un type de données. Il anticipe le résultat et élabore une solution qui comporte quelques étapes. Il valide la solution (démarche et résultat) et la communique, verbalement ou par écrit, en utilisant un langage mathématique élaboré.
COMPÉTENCE TRANSVERSALE 2 – Résoudre des problèmes
Évolution de la compétence : il est capable d’imaginer plusieurs solutions, mais éprouve de la difficulté à les justifier. Lorsqu’il choisit une solution, c’est généralement pour des raisons plus émotives que rationnelles. Ses mises à l’essai ne sont pas encore très systématiques. Il devient progressivement apte à faire l’analyse de sa démarche et il développe peu à peu sa capacité à relier la situation qu’il examine à des situations semblables.
Composante de la compétence – Analyser les éléments de la situation : cerner le contexte, en percevoir les éléments déterminants et les liens qui les unissent.
Critères d’évaluation
- Pertinence des éléments identifiés
- Utilisation de stratégies efficaces et variées
- Dynamisme de la démarche
DOMAINE GÉNÉRAL DE FORMATION – Environnement et consommation
Intention éducative
Amener l’élève à entretenir un rapport dynamique avec son milieu, tout en gardant une distance critique à l’égard de l’exploitation de l’environnement, du développement technologique et des biens de consommation.
Axe de développement – Conscience des aspects sociaux, économiques et éthiques du monde de la consommation : interdépendance des personnes, des peuples et de leurs réalisations.
LIEN CULTUREL – Ouverture sur la vidéo – Enseignement traditionnel – Animaux innus – Production Manitu inc. Durée : 3 min 31 s.
LIENS ARTISTIQUES
La formation en arts plastiques alphabétise visuellement l’élève, développe son potentiel créateur au regard du monde visuel et ses habiletés à symboliser, à exprimer et à communiquer par le biais de l’image.
À la fin du 2e cycle, l’élève doit pouvoir :
Tracer à main levée (crayon-feutre).
Souder, pincer un matériau malléable (fil de fer).
COMPÉTENCE 1 – Réaliser des créations plastiques personnelles
Cheminement de l’élève : il apprend à utiliser chacune des étapes de la démarche de création. À la suite d’expérimentations variées, il transforme des matériaux dont l’utilisation est plus exigeante. Il diversifie son utilisation du langage plastique et exploite des agencements cohérents des éléments dans l’espace, tout en enrichissant ses idées de création grâce au partage avec les autres.
Critères d’évaluation
- Utilisation pertinente de gestes transformateurs spontanés et précis
- Organisation cohérente des éléments
Attentes de fin de cycle : il prend en considération les étapes de la démarche de création. Sa réalisation est souvent guidée par des intérêts d’ordre affectif et social. Liée à la proposition de création, elle traduit sa perception du réel. Elle résulte de gestes. spontanés et précis, d’une utilisation pertinente du langage plastique et d’une organisation cohérente des éléments qui la composent.
OBJECTIFS PÉDAGOGIQUES INNUS
Céline Volant-Bellefleur, Mani-utenam (Québec)
Anne-Marie André, Uashat (Québec)
OBJECTIF GLOBAL
Les objectifs pédagogiques innus consistent à susciter chez l’enfant la connaissance et le respect de son groupe ethnique, de son environnement et de ses traditions et à favoriser la découverte des divers aspects de la vie innue d’hier et d’aujourd’hui.
OBJECTIFS GÉNÉRAUX
2. Explorer l’environnement naturel des Innus
3. Apprendre les diverses traditions transmises par les Anciens
4. Découvrir les différents aspects de la vie innue d’autrefois en forêt et dans la communauté
OBJECTIFS TERMINAUX
2.5 Nommer les éléments naturels au campement en forêt
2.5.6 Stimuler l’enfant à exprimer ses sentiments envers la nature qui l’entoure.
3.1 Trouver les valeurs transmises par les Anciens
3.1.1 À l’aide d’exemples simples tirés de la vie quotidienne, trouver les valeurs véhiculées par les Anciens.
4.7 Identifier les animaux de son milieu
4.7.4 Trouver des façons de respecter les animaux.
Tous droits réservés © 2016 ETAPMANITU
.




