LES ÉQUATIONS PAR LA COULEUR
PROJET
Réaliser une fraction et une équation à partir d’un dessin à l’aveugle inspiré d’une réalisation issue des Premières Nations.

TROIS HUITIÈMES – Dessin à l’aveugle sur carton, 8,5 x 11 pouces.
.
.
.

6e année, classe de Madame Élise, école Le Plateau, Montréal (Québec), 2015-2016
.
MATÉRIEL
LE MATÉRIEL D’ART EST FOURNI PAR ETAPMANITU
1. Papier régulier, 11 x 17 po (1 par élève)
2. Crayon à mine, gomme à effacer et crayon-feutre noir (1 par élève)
3. Règle (1 par élève)
4. Carton blanc ou papier régulier, 8,5 x 11 po (1 par élève)
5. Crayons-feutres de couleurs variées (1 paquet par table)
6. Petit sac de papier brun, 9 x 12 po (1 par élève)
.
LANGAGE PLASTIQUE
Couleurs pigmentaires chaudes : jaune primaire, magenta, orangé
Couleurs pigmentaires froides : cyan, vert, violet
Couleurs pigmentaires primaires : jaune, cyan, magenta
Couleurs pigmentaires secondaires : vert, orangé, violet
Lignes : horizontale, verticale, courbe, droite, transversale
Organisation de l’espace : répétition, alternance, symétrie et asymétrie
Technique : dessin
Vocabulaire : dénominateur, entier, partie équivalente
.
.
OUTILS PÉDAGOGIQUES
Vidéo sur le mode de vie innu – Enseignement traditionnel – Production Manitu inc.
Le partage – Durée : 4 min 46 s.
.
Série d’équations (à imprimer et à couper)

.
Réalisation issue des Premières Nations

Artiste inconnu
.
TROIS ÉTAPES

.

.

.
Carnet de traces


.
.
Ce projet est financé par le ministère de l’Éducation et de l’Enseignement supérieur du Québec.
.
.
.
CARNET DE TRACES
Les élèves fabriquent un carnet de traces de 8 pages et compilent les informations suivantes :
PAGE COUVERTURE : écrire son nom en bas, au centre ; écrire la réponse de son équation dans un rectangle.
Page 2 : tracer une ligne continue au fil d’une histoire racontée.
Page 3 : suite de la page 2.
Page 4 : écrire les trois couleurs primaires et les trois couleurs secondaires ; écrire une brève description du blanc et du noir ; entourer les couleurs choisies (chaudes, froides).
Page 5 : dessiner trois rectangles et résoudre l’équation en hachurant les parties des fractions.
Page 6 : résoudre une des trois équations (en équipe de trois, trouver le dénominateur commun).
Page 7 : refaire son équation en utilisant trois rectangles (1re partie).
Page 8 : refaire son équation en utilisant trois rectangles (2e partie).
Démonstration — Réalisation d’un carnet de traces – Durée : 48 s.
.
ÉTAPES DU COURS
Jour 1
PRÉPARATION
Préparer sur le TBI (tableau blanc interactif) la vidéo sur le mode de vie innu pour le visionnement.
Imprimer la série d’équations en trois exemplaires et couper, format env. 3 x 4 po (1 par élève).

.
Former des équipes de trois.
Distribuer à chaque élève :
– un papier régulier, 11 x 17 po
– trois photocopies d’une équation (par équipe).
.
1. Présentation de l’artiste et du projet. Qu’est-ce qu’un dessin à l’aveugle ? C’est dessiner en ne regardant que le modèle sans poser les yeux sur la feuille.
2. Visionner la vidéo sur le mode de vie innu — Le partage — Production Manitu inc. Durée : 4 min 46 s. Trouver des façons d’apprêter la viande en forêt — Quels sont les étapes de préparation de la viande de caribou ? Découper la viande, faire sécher, la tourner sur le séchoir et la mettre en poudre. À l’aide d’exemples simples tirés de la vie quotidienne, trouver les valeurs véhiculées par les Anciens — Par exemple : l’été, les Innus épargnaient les petits animaux comme le porc-épic et le castor et avaient appris à bien reconnaître les femelles.
3. L’élève réalise un carnet de traces en manipulant et en pliant un papier de 11 x 17 pouces, en 8 carrés égaux. Il repère la page couverture et écrit son nom au bas de la page. Il numérote ensuite les pages de 2 à 8 dans les coins extérieurs.
4. Additionner et/ou soustraire — Dessiner trois rectangles au tableau et résoudre une équation simple : 3/4 – 1/4 = 2/4. Hachurer les parties de la fraction.
5. Placer le carnet de traces côté paysage (dans l’autre sens), page 5. Tracer trois rectangles. Inverser les données et recommencer : 2/4 + 1/4 = 3/4. Résoudre l’équation.

.
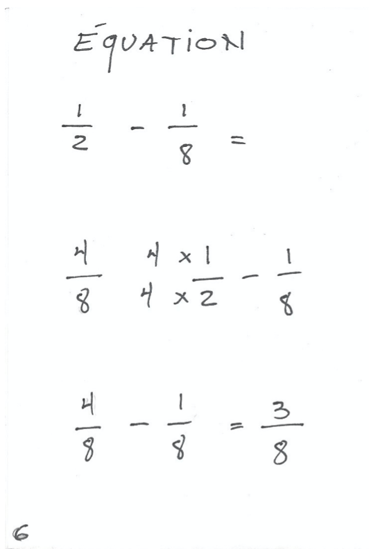
6. Qu’est-ce que le dénominateur ? C’est la partie d’une fraction qui indique en combien de parties l’unité est divisée (p. ex. : 1/2 – 1/8 = 3/8, 1/2 – 3/8 = 1/8, 3/8 + 1/8 = 1/2). Trouver le dénominateur commun.
7. Additionner et/ou soustraire : fractions — En équipe de trois, résoudre trois équations (p. ex. : 1/9 + 2/3, 7/9 – 2/3 , 7/9 – 1/9). Choisir une fraction chacun de façon à réaliser l’équation ensemble. (Les réponses ne figurent pas sur les bouts de papier.) Trouver le dénominateur commun de son équation, page 6.

.
8. Refaire son équation en utilisant trois rectangles sur trois pages différentes, pages 7 et 8 et page couverture. Hachurer les parties des fractions en respectant celles de ses coéquipiers.

.
Entre le jour 1 et le jour 2
– L’enseignant s’assure de la compréhension de l’élève et vérifie que la collecte de l’information est conforme aux attentes : résolution d’une équation (page 6), trois rectangles hachurés (pages 7, 8 et couverture).
Jour 2
PRÉPARATION
Préparer sur le TBI le tableau des couleurs primaires et secondaires.

.
Redonner à chaque élève son carnet de traces.
Distribuer à chaque élève :
– un carton blanc ou papier régulier, 8,5 x 11 po
– un petit sac de papier brun
– un crayon-feutre noir.
.
9. Tracer une ligne continue au fil d’une histoire racontée (p. ex. : La journée d’un chasseur. Un chasseur quitte la maison tôt le matin pour aller pêcher. Bredouille à la tombée du jour, il décide de camper et rêve au lendemain en ronflant toute la nuit.). Tracer, pages 2 et 3. Utiliser un crayon à mine d’abord, puis retracer au crayon-feutre noir. (Pour éviter de laisser des taches, toujours placer un papier sous le dessin.)

.
10. Réaliser un dessin à l’aveugle — Placer une feuille dans un sac de papier brun et choisir un de ses deux coéquipiers. Pendant que le troisième membre de l’équipe patiente, les deux équipiers, assis face à face, réalisent le portrait de l’autre. Placer son crayon sur la feuille (à l’intérieur du sac), choisir l’emplacement du crayon, puis regarder son partenaire attentivement en traçant une ligne continue au crayon à mine sans regarder à l’intérieur du sac, et ce, jusqu’à la fin. Ne lever son crayon de la feuille que lorsque l’on juge le dessin terminé. Le troisième membre de l’équipe choisit l’un des deux coéquipiers pour réaliser son portrait.

.
11. Consulter le tableau des couleurs primaires et secondaires (sur le TBI) — Quelles sont les trois couleurs primaires ? Jaune, magenta (rouge) et cyan (bleu). Et les trois couleurs secondaires ? Orangé, vert ou violet. Qu’est-ce que le blanc ? C’est la réunion de toutes les couleurs. Et le noir ? C’est l’absence de couleur, écrire à la page 4.
12. Tracer cinq lignes transversales au crayon à mine sur son dessin.
13. Retracer toutes les lignes du personnage au crayon-feutre noir. Ajouter une ligne de contour au dessin de façon à lui donner un cadre. Effacer tous les traits de crayon à mine. Signer en bas à droite.

.
Entre le jour 2 et le jour 3
– L’enseignant s’assure que les éléments suivants figurent dans les carnets de traces : ligne continue (pages 2 et 3), trois couleurs primaires et trois secondaires, description du blanc et du noir (page 4).
– L’élève termine son carnet de traces.
Jour 3
PRÉPARATION
Préparer sur le TBI une réalisation issue des Premières Nations.

.
Redonner à chaque élève son carnet de traces.
Distribuer à chaque élève :
– un crayon-feutre noir
– des crayons-feutres de couleurs variées (1 paquet par table).
.
14. Récapitulation — Vérification des fractions.
15. Tracer les fractions sur son dessin au crayon à mine (voir page couverture).

.
16. Qu’elles sont les couleurs chaudes ? Jaune primaire, magenta, orangé. Et les couleurs froides ? Cyan, vert, violet. Appréciation d’une réalisation issue des Premières Nations (sur le TBI). L’élève repère des éléments connus et découvre ce qui le touche. Il relève les points suivants : les couleurs chaudes et froides.
17. En équipe, choisir ses couleurs et entourer celles qui conviennent à sa fraction (voir la page 4). Colorier chaque partie de sa fraction. (Utiliser les couleurs chaudes OU froides.) Changer de couleur à la rencontre d’une ligne.

.
CONCLUSION
Réflexion et évaluation des mesures à prendre pour contribuer à l’amélioration des modalités d’un travail de groupe.
EXTENSIONS
1. Autoévaluation à partir d’une fiche.

.
3. Réaliser une exposition : placer les dessins d’une même équipe de façon à représenter une équation. Écrire les fractions sur des petites cartes et placer sous chaque dessin.

.
4. Fixer les réalisations au mur, écrire les fractions sur des petites cartes et jouer à trouver leur emplacement ; placer une fraction sous chaque dessin.

6e année, classe de Madame Élise, école Le Plateau, Montréal (Québec), 2015-2016
.
GLOSSAIRE
Dénominateur : partie d’une fraction qui indique en combien de parties l’unité est divisée.
Fraction : un certain nombre de parts considérées après la division d’un nombre entier en parties égales.
Hachurer : tracer des lignes parallèles très proches les unes des autres.
Ligne transversale : qui traverse.
.
.
.
CONTENU D’APPRENTISSAGE – MINISTÈRE DE L’ÉDUCATION DU QUÉBEC
À la fin du 2e cycle, l’élève doit pouvoir :
Additionner et/ou soustraire – Fractions : lecture, écriture, numérateur, dénominateur, représentations variées, ordre, comparaison, expressions équivalentes, fractions équivalentes.
COMPÉTENCE 1 – Résoudre une situation-problème mathématique
Cheminement de l’élève : il réussit à dégager des données implicites de situations problèmes et la tâche à réaliser.
Composante de la compétence – Modéliser la situation-problème
Critères d’évaluation
- Production d’une solution correcte
- Démarche et résultat
Attentes de fin de cycle : il accorde plus d’importance au choix des modes de représentation lui servant à dégager les données utiles de la situation-problème et peut également recourir aux schémas. Il anticipe le résultat et élabore une solution qui comporte quelques étapes.
COMPÉTENCE TRANSVERSALE 8 – Coopérer
Évolution de la compétence : il réussit à distinguer entre les éléments à considérer et d’autres à laisser de côté.
Composante de la compétence – Contribuer au travail collectif : planifier et réaliser un travail avec d’autres.
Critères d’évaluation
- Attitudes et comportements adaptés
- Contribution à l’amélioration des modalités d’un travail de groupe
Attentes de fin de cycle : en plus d’utiliser un vocabulaire correct et varié, l’élève orthographie correctement la plupart des mots d’usage fréquent et il effectue l’accord du déterminant et de l’adjectif avec le nom et l’accord du verbe avec le sujet dans les cas simples.
DOMAINE GÉNÉRAL DE FORMATION – Orientation et entrepreneuriat Intention éducative
Offrir à l’élève des situations éducatives lui permettant d’entreprendre et de mener à terme des projets orientés vers la réalisation de soi et l’insertion dans la société.
Axe de développement – Appropriation des stratégies liées à un projet : stratégies associées aux diverses facettes de la réalisation d’un projet (information, prise de décision, planification et réalisation.
LIEN CULTUREL – Enseignement traditionnel – Le partage – Production Manitu inc. Durée : 4 min 46 s.
LIENS ARTISTIQUES
La formation en arts plastiques alphabétise visuellement l’élève, développe son potentiel créateur au regard du monde visuel et ses habiletés à symboliser, à exprimer et à communiquer par le biais de l’image.
À la fin du 2e cycle, l’élève doit pouvoir :
Tracer à main levée (crayon-feutre).
COMPÉTENCE 1 – Réaliser des créations plastiques personnelles
Cheminement de l’élève : il apprend à utiliser chacune des étapes de la démarche de création. Il diversifie son utilisation du langage plastique et exploite des agencements cohérents des éléments dans l’espace.
Composante de la compétence – Organiser les éléments résultant de ses choix
Critères d’évaluation
- Relation entre sa réalisation et la proposition de création
- Utilisation pertinente de gestes transformateurs spontanés et précis
Attentes de fin de cycle : liée à la proposition de création, sa réalisation traduit sa perception du réel. Elle résulte de gestes spontanés et précis, d’une utilisation pertinente du langage plastique et d’une organisation cohérente des éléments qui la composent.
OBJECTIFS PÉDAGOGIQUES INNUS
Céline Volant-Bellefleur, Mani-utenam (Québec)
Anne-Marie André, Uashat (Québec)
OBJECTIF GLOBAL
Les objectifs pédagogiques innus consistent à susciter chez l’enfant la connaissance et le respect de son groupe ethnique, de son environnement et de ses traditions et à favoriser la découverte des divers aspects de la vie innue d’hier et d’aujourd’hui.
OBJECTIFS GÉNÉRAUX
3. Apprendre les diverses traditions transmises par les Anciens
4. Découvrir les différents aspects de la vie innue d’autrefois en forêt et dans la communauté
OBJECTIFS TERMINAUX
3.1 Trouver les valeurs transmises par les Anciens
3.1.2 Identifier à l’aide d’un texte (ou vidéo) des situations qui appuient des valeurs puisées dans la vie quotidienne.
4.6 Trouver les diverses façons de s’alimenter
4.6.2 Trouver des façons d’apprêter la viande en forêt.
4.6.4 Nommer la nourriture qui composait le menu de tous les jours.
Tous droits réservés © 2016 ETAPMANITU
.


